Skip to main content
FAQs
Complain
Problems
Search form
Search
X
9845618431
indrasarowarmun@gmail.com and info@indrasarowarmun.gov.np
इन्द्रसरोवर गाउँपालिका
“प्रयोगमैत्री संरचना शिक्षा,पर्यटन र कृषि,समतामूलक बिकास इन्द्रसरोवरको सम्बृद्धि” बागमती प्रदेश, नेपाल सरकार
Search form
Search
गृहपृष्ठ
परिचय
संगठनात्मक स्वरुप
जनप्रतिनिधि
कर्मचारी विवरण
पूर्व कर्मचारी
श्रोत नक्सा
गाँउपालिकाको परिचय
वडा कार्यालयहरु
कार्यक्रम तथा परियोजना
बजेट तथा कार्यक्रम
योजना तथा परियोजना
आय व्यय विवरण
विषयगत शाखाहरु
कृषि विकास शाखा
रोजगार सेवा केन्द्र
शिक्षा युवा तथा खेलकुद विकास शाखा
विधुतीय शुसासन सेवा
घटना दर्ता
सामाजिक सुरक्षा
नागरिक वडापत्र
नमुना फारमहरु
प्रतिवेदन
मासिक प्रगति प्रतिवेदन
सूचनाको हक सम्बन्धी स्वत:प्रकाशन
वार्षिक प्रगति प्रतिवेदन
लेखा परीक्षण प्रतिवेदन
अनुगमन प्रतिवेदन
सार्वजनिक सुनुवाई
सार्वजनिक परीक्षण
सामाजिक परिक्षण
प्रकाशन
सूचना तथा जानकारी
सूचना तथा समाचार
सार्वजनिक खरिद/बोलपत्र सूचना
ऐन कानुन निर्देशिका
कर तथा शुल्कहरु
निर्णयहरु
गाउँ सभाका निर्णयहरु
गाउँ कार्यपालिकाका निर्णयहरु
ग्यालरी
सम्पर्क
समाचार
एच. पि. भि . खोप कार्यक्रमको पहिलो दिन
खोप कार्यक्रम संचालन हुने सम्बन्धी सूचना
नतिजा प्रकाशन सम्बन्धी सूचना |
अन्तर विद्यालय राष्ट्रपति रनिङ शिल्ड प्रतियोगिता-२०८२ को मिति २०८२ माघ २१ गते समापन समारोह
इन्द्रसरोवर गाउँपालिकाद्वारा आयोजित अन्तर विद्यालय राष्ट्रपति रनिङ शिल्ड प्रतियोगिता-२०८२
कार्यान्वयन सम्बन्धमा ।
२०८२ कार्तिक देखि २०८२ पुस महिनासम्म सम्पादित प्रमुख क्रियाकलापहरुको विवरण सूचनाको हक सम्बन्धी स्वत:प्रकाशन
दोस्रो त्रैमासिक किस्ताको सामाजिक सुरक्षा भत्ता सम्बन्धी जरूरी सूचना ।
पुन:बोलपत्र आव्हान सम्बन्धी सूचना |
बोलपत्र स्वीकृत गर्ने आशयको सूचना |
You are here
Home
» वडा नं. ४ बाट सामाजिक सुरक्षा भत्ताकाे पहिलाे किस्ता प्राप्त गरेका लाभग्राहीहरुकाे विवरण ।
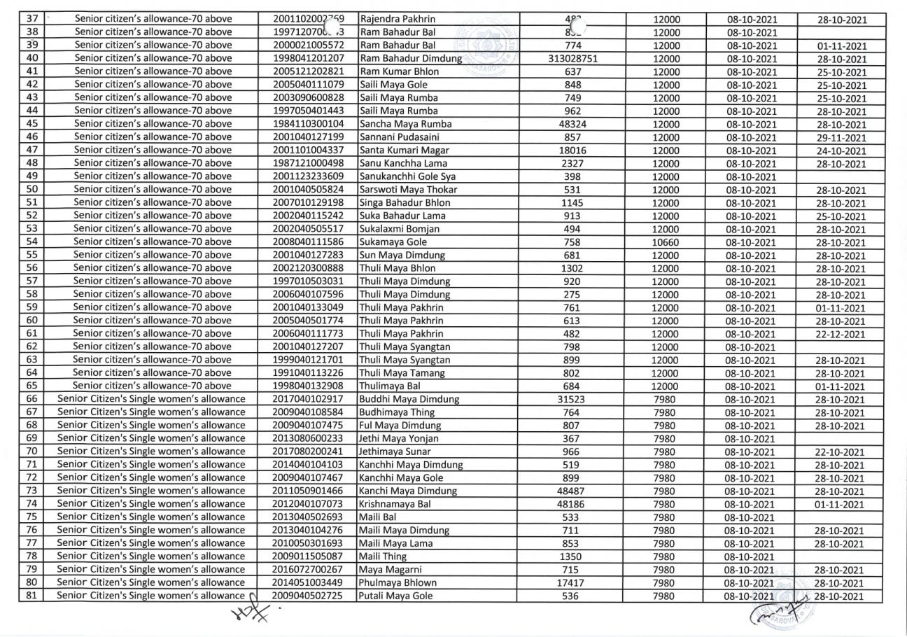
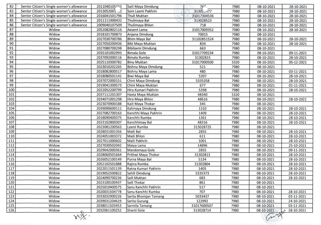
वडा नं. ४ बाट सामाजिक सुरक्षा भत्ताकाे पहिलाे किस्ता प्राप्त गरेका लाभग्राहीहरुकाे विवरण ।
Submitted on:
Wed, 01/12/2022 - 10:28
प्रकार:
सूचना तथा समाचार
आर्थिक वर्ष:
७८/७९
सामाजिक सुरक्षा तथा पञ्जीकरण
आ.व २०८१-०८२ को चौथो किस्ताको सामाजिक सुरक्षा भत्ता वडा नं. ५ बाट प्राप्त गरेका लाभग्राहीहरुको विवरण
आ.व २०८१-०८२ को चौथो किस्ताको सामाजिक सुरक्षा भत्ता वडा नं. ४ बाट प्राप्त गरेका लाभग्राहीहरुको विवरण
आ.व २०८१-०८२ को चौथो किस्ताको सामाजिक सुरक्षा भत्ता वडा नं. ३ बाट प्राप्त गरेका लाभग्राहीहरुको विवरण
आ.व २०८१-०८२ को चौथो किस्ताको सामाजिक सुरक्षा भत्ता वडा नं. २ बाट प्राप्त गरेका लाभग्राहीहरुको विवरण
आ.व २०८१-०८२ को चौथो किस्ताको सामाजिक सुरक्षा भत्ता वडा नं. १ बाट प्राप्त गरेका लाभग्राहीहरुको विवरण
सामाजिक सुरक्षा भत्ता भुक्तानी शिविर सञ्चालन सम्बन्धी सूचना ।
आ.व २०८१-०८२ को तेस्रो किस्ताको सामाजिक सुरक्षा भत्ता वडा नं. १ बाट प्राप्त गरेका लाभग्राहीहरुको विवरण
आ.व २०८१-०८२ को तेस्रो किस्ताको सामाजिक सुरक्षा भत्ता वडा नं. २ बाट प्राप्त गरेका लाभग्राहीहरुको विवरण
आ.व २०८१-०८२ को तेस्रो किस्ताको सामाजिक सुरक्षा भत्ता वडा नं. ३ बाट प्राप्त गरेका लाभग्राहीहरुको विवरण
आ.व २०८१-०८२ को तेस्रो किस्ताको सामाजिक सुरक्षा भत्ता वडा नं. ४ बाट प्राप्त गरेका लाभग्राहीहरुको विवरण
Pages
1
2
3
4
5
6
7
8
next ›
last »
अन्य
सार्वजनिक खरिद/बोलपत्र सूचना
पुन:बोलपत्र आव्हान सम्बन्धी सूचना |
मिति:
01/29/2026 - 10:14
बोलपत्र स्वीकृत गर्ने आशयको सूचना |
मिति:
01/29/2026 - 10:12
बोलपत्र आव्हान सम्बन्धी सूचना |
मिति:
01/08/2026 - 15:25
पुन:बोलपत्र आव्हान सम्बन्धी सूचना |
मिति:
01/08/2026 - 15:20
बोलपत्र स्वीकृत गर्ने आशयको सूचना |
मिति:
01/08/2026 - 15:19
अन्य
ऐन, कानुन तथा निर्देशिका
इन्द्रसरोवर गाउँपालिकाको सार्वजनिक खरिद नियमावली, २०८१
मिति:
06/04/2025 - 16:37
इन्द्रसरोवर गाउँपालिकाको सार्वजनिक खरिद नियमावली, २०८१
मिति:
06/04/2025 - 16:37
इन्द्रसरोवर गाउँपालिकाको व्यवसाय दर्ता ऐन २०५१
मिति:
06/04/2025 - 16:32
गाउँपालिकाको संस्था दर्ता ऐन २०८१
मिति:
06/04/2025 - 16:30
गाउँपालिकाको संस्था दर्ता ऐन २०८१
मिति:
06/04/2025 - 16:29
Pages
1
2
3
4
5
6
7
8
9
…
next ›
last »
अन्य
कर तथा शुल्कहरु
इन्द्रसरोवर गाउँपालिकाले आ.व. २०८०/०८१ को लागि तोकेका कर/शुल्क/दस्तुर को विवरण
इन्द्रसरोवर गाउँपालिकाले आ.व. २०७९/०८० को लागि तोकेका कर/शुल्क/दस्तुर को विवरण
इन्द्रसरोवर गाउँपालिकाले आ.व. २०७८/०७९ को लागि तोकेका कर/शुल्क/दस्तुर को विवरण
इन्द्रसरोवर गाउँपालिकाले आ.व. २०७७/०७८ को लागि तोकेका कर/शुल्क/दस्तुर को विवरण
इन्द्रसरोवर गाउँपालिकाले आ.व. २०७५/०७६ को लागि तोकेका कर/शुल्क/दस्तुर को विवरण
Pages
1
2
next ›
last »
अन्य
आय व्यय विवरण
आर्थिक वर्ष २०८०/०८१ को असार महिना सम्मको आय व्ययको विवरण
मिति:
07/09/2024 - 15:47
आर्थिक वर्ष २०८०/०८१ को माघ देखि चैत महिना सम्मको आय व्ययको विवरण
मिति:
04/15/2024 - 12:31
आर्थिक वर्ष २०८०/०८१ को पुस देखि माघ महिना सम्मको आय व्ययको विवरण
मिति:
03/06/2024 - 17:10
आर्थिक वर्ष २०८०/०८१ को मंसिर देखि पुस महिना सम्मको आय व्ययको विवरण
मिति:
03/06/2024 - 17:08
आर्थिक वर्ष २०८०/०८१ को साउन देखि कार्तिक महिना सम्मको आय व्ययको विवरण
मिति:
03/06/2024 - 17:07
अन्य
वडा प्रोफाईल
वडा नं. १
वडा नं.२
वडा नं.३
वडा नं. ४
वडा नं. ५
//